우리가 일상생활에서 사용하는 '전기'란, 사실 눈에 보이지 않는 아주 작은 입자인 전자의 규칙적인 흐름을 의미합니다. 이 전자의 흐름이 전구에 불을 밝히고, 모터를 움직이며, 데이터를 전송하는 모든 에너지의 근원입니다. 전기의 기본적인 원리와 전자가 어떻게 움직이는지를 쉽게 이해해 봅시다.
1. 전기의 정의: 전자의 이동
A. 전기란 무엇인가? (Electric Current)
- 전자의 흐름: 전기는 물질을 이루는 기본 입자인 전자(Electron)가 한 방향으로 이동하는 현상입니다.
- 도체와 부도체: 전자가 잘 이동할 수 있는 물질을 도체(Conductor)라고 하며 구리, 금, 은 등이 대표적입니다. 전자가 거의 이동할 수 없는 물질을 부도체(Insulator) 또는 절연체라고 하며 고무, 플라스틱 등이 있습니다. 전선이 구리로 만들어지고 겉이 고무로 덮여 있는 이유가 여기에 있습니다.
- 전류의 단위 (Ampere, A): 전기의 흐름인 전류의 세기를 나타내는 단위는 암페어(A)입니다. 이는 전선 단면을 1초 동안 통과하는 전자의 양을 나타냅니다.
B. 전자의 움직임 (자유 전자)
금속과 같은 도체 내부에는 원자핵에 강하게 구속되지 않고 자유롭게 움직일 수 있는 자유 전자(Free Electron)가 많이 존재합니다. 평소에는 이 자유 전자들이 무작위로 움직이지만, 전압이라는 힘이 가해지면 특정 방향으로 일제히 움직이기 시작하는데, 이것이 바로 전류입니다.
2. 전기를 흐르게 하는 힘: 전압 (Voltage)
전자가 흐르기 위해서는 '밀어주는 힘'이 필요한데, 이것이 바로 전압입니다.
- 전압의 역할: 전압은 전자를 한 곳에서 다른 곳으로 이동시키는 전위차(Potential Difference) 또는 에너지 차이를 나타냅니다. 마치 높은 곳의 물이 낮은 곳으로 흐르듯이, 전위가 높은 곳에서 낮은 곳으로 전자를 밀어내는 힘이 전압입니다.
- 전압의 단위 (Volt, V): 전압의 세기를 나타내는 단위는 볼트(V)입니다. 우리가 사용하는 건전지(1.5V)나 가정용 전원(220V)은 모두 이 전압의 크기를 나타냅니다.
3. 전기의 흐름을 방해하는 힘: 저항 (Resistance)
전자가 이동하는 동안 마주치는 방해물을 저항이라고 합니다.
- 저항의 역할: 저항은 전류의 흐름을 방해하는 정도를 나타냅니다. 전자가 도체를 지나가면서 도체 내부의 원자들과 충돌하며 흐름을 방해받는데, 이 충돌로 인해 열이 발생합니다 (줄의 법칙).
- 저항의 단위 (Ohm, Omega): 저항의 세기를 나타내는 단위는 옴(Omega)입니다. 저항이 높으면 전류가 잘 흐르지 못하고, 저항이 낮으면 전류가 잘 흐릅니다.
4. 옴의 법칙: 세 요소의 관계
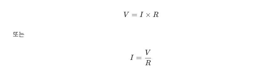
전류(I), 전압(V), 저항(R) 사이의 관계를 설명하는 가장 기본적인 법칙입니다.
- 옴의 법칙 공식

이 법칙에 따르면, 전압(V)이 일정할 때 저항(R)이 높으면 전류(I)는 약해지고, 저항이 낮으면 전류는 강해집니다.
💡 결론: 전자는 움직이는 에너지
안녕하세요, 독자 여러분! 전기는 복잡한 현상이 아니라, 전압이라는 힘에 의해 도체 내의 자유 전자가 일제히 움직이는 단순하고 규칙적인 현상입니다. 이 전자의 움직임이 우리 생활에 필요한 모든 에너지를 공급합니다.
전기를 이해하는 가장 쉬운 방법은 전압을 '수압', 전류를 '물의 흐름', 저항을 '파이프의 좁아진 정도'로 생각하는 것입니다. 이 세 가지 요소의 균형이 곧 전기 회로의 원리입니다. 감사합니다.
'전기전자 기초 이론' 카테고리의 다른 글
| 🔋 저항, 콘덴서, 코일: 3대 수동 소자의 역할과 비유 (1) | 2025.12.20 |
|---|---|
| ⚡️ 캐패시터(콘덴서)의 원리: 전기를 저장하는 '댐'의 역할 (0) | 2025.12.18 |
| 💦 전압, 전류, 저항: 물의 흐름에 비유하여 기초 다지기 (0) | 2025.12.17 |